调频连续波雷达,又称 FMCW 雷达。调频连续波雷达液位传感器的天线经过进一步优化。新型高速微处理器可实现更高速率的信号处理。

SI-FMF12 Frequency Modulated Continuous Wave Radar Level Sensor

调频连续波雷达是指发射频率由特定信号调制的连续波雷达。根据发射信号的类型,雷达可分为脉冲雷达和连续波雷达两类。调频连续波雷达发射的信号可以是单频连续波(CW)或调频连续波(FMCW)。FMCW雷达可用于测距和测速,在短距离测量方面的优势日益明显。

Sino-Inst 提供多种用于工业液位测量的调频连续波雷达。如有任何疑问,请联系我们的销售工程师。

调频连续波雷达液位传感器特点

  • 120GHz-130GHz调频波雷达,太赫兹雷达应用于工业测量领域
  • 10GHz超宽调频扫描频宽,应用范围广
  • 320*240点阵TFT彩色液晶显示屏,操作简便,界面友好
  • 支持标准HART、MODBUS、PROFIBUS总线协议
  • 支持多种操作配置方式,例如PC端设置软件、手机APP、液晶键盘模块、罐侧计量器等
  • 24VDC、220VAC两种供电模式
  • 安装结构简单,可适应现场各种安装方式

SI-FMF12 FMCW 雷达液位传感器的规格

测量介质:液体
测量范围:0.05m~35m
过程连接:G2A螺纹/法兰≥DN65
过程温度:-40~110℃
过程压力:-0.1~1.6 MPa
精度:±2mm
防护等级:IP67
频率范围:IP67
电源:两线制 (DC24V)/四线制 (DC12V~24V)/四线制 (AC220V)
防爆等级:Exia ⅡC T6 Ga / Exd IIC T6 Gb
外壳:铝/塑料/不锈钢
信号输出:两线制 4…20mA/HART 协议 四线制 4…20mA/RS485 Modbus

延伸阅读:介电常数对液位测量的影响 | 雷达导波雷达液位计

调频连续波雷达的优势

120GHz-130GHz调频连续波雷达产品(也称太赫兹雷达)。
它使用比Ku波段雷达更高的太赫兹频段。

它在远距离目标探测、强烟尘环境、远距离成像、多光谱成像等领域有着重要的应用。与微波雷达相比,它能够探测更小的目标,并实现更精确的定位。此外,它还具有更高的分辨率和更强的保密性。

什么是太赫兹(THz)电磁波?

太赫兹是指频率介于100GHz~10,000GHz(10THz)之间的电磁波和电磁辐射。

迄今为止,人类对太赫兹频段的了解和应用开发还非常有限。太赫兹波段位于电磁波谱的中红外波段和微波波段之间,代表着从量子机制传输理论物理向经典机制传输理论物理过渡的阶段。

1THz(=1000GHz)电磁波的波长为300μm(0.3mm大约是人类头发的直径)。

连续波雷达和调频连续波雷达的区别

根据发射信号的类型,雷达可分为脉冲雷达和连续波雷达。传统的脉冲雷达发射周期性的高频脉冲。连续波雷达发射连续波信号。

连续波雷达发射的信号可以是单频连续波(CW)或调频连续波(FMCW)。调频方式也多种多样,常见的有三角波、锯齿波、码调或噪声调频。

其中,单频连续波雷达(CW)只能用于测速,不能用于测距。调频连续波雷达(FMCW)可以同时测量距离和速度,其在短距离测量方面的优势日益明显。

我们可以从维基百科了解更多关于 连续波雷达 的信息。

调频连续波雷达工作原理

FMCW Radar Level Transmitter Working Principle

调频波 雷达液位传感器 及距离计算公式:

其中:C 为光速;fd 为多普勒频移;fu 为三角波上升沿差频;f0 为调频初始频率;T 为信号周期;B 为信号带宽

距离分辨率取决于离散傅里叶变换 (DFT) 的频率分辨率(频率分辨率)。DFT 的频率分辨率 Fres 等于:

FMCW Radar Level Transmitter Working Principle 1

T 为 DFT 运算中非零采样值对应的采样时间。如果采用快速傅里叶变换 (FFT) + 零填充方法计算频谱,则 T 为非零填充点对应的采样时间。

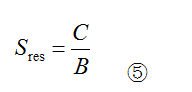
频率分辨率 Fres 对应的距离即为雷达的距离分辨率 Sres。那么,如何计算调频连续波雷达的距离分辨率呢?

B:频率调制宽度,单位为赫兹 (Hz)

T:实际频率调制时间,单位为秒

C:光速,3×10⁸ 米/秒

S:雷达与目标之间的距离,单位为米

V:频率调制速率,单位为赫兹/秒 (Hz/s)

t:波传播时间,单位为秒 (s)

Frequency of the received IF signal

V=BW/T  ②

t= 2S/C   ③

2BS/TC

假设 T 为整个频率调制周期内的采样时间。所有采样点均用于 DFT 计算。根据④和①,

FMCW Radar Level Transmitter Working Principle 5

FMCW Radar Level Transmitter Working Principle 6

这是在确定频率调制带宽的情况下,FMCW 所能达到的最小距离分辨率的计算公式。

在实际应用中,采样时间会略短于实际频率调制时间 T。也就是说,Fres 的值会更大。因此,Sres 的值也会更大。

FMCW雷达 vs 脉冲雷达

VEGAPULS制作了一段关于脉冲和FMCW技术的精彩讲解视频 | 雷达液位测量。让我们一起来看看。

视频来源:https://www.youtube.com/watch?v=eAngy1B1FP

脉冲雷达

脉冲雷达是一种精密跟踪雷达。每次发射脉冲时,天线可以同时形成多个波束,并比较每个波束回波信号的幅值和相位。

当目标位于天线轴线上时,每个波束回波信号的幅值和相位相等,信号差为零。

当目标不在天线轴线上时,每个波束回波信号的幅值和相位不相等,从而产生信号差。

驱动天线直至天线轴线与目标对准,即可测量目标的仰角、低角和方位角。

将每个波束接收到的信号相加,即可测量目标的距离。从而实现对目标的测量和跟踪。

调频连续波雷达(FMCW)

调频连续波雷达是指发射频率由特定信号调制的连续波雷达,例如气象雷达。

调频连续波雷达通过比较任意时刻回波信号频率与该时刻发射信号频率的差值来获取目标距离信息。

距离与两者之间的频率差成正比。通过处理测得的两者之间的频率差,可以获得目标的径向速度和距离。

与其他测距和测速雷达相比,调频连续波雷达的结构更简单。

调频连续波雷达技术成熟,所需发射功率峰值低,调制方便,成本低,信号处理简单,因此是汽车雷达中常用的雷达系统。

低频连续波雷达(LFMCW)是指载波信号频率随时间线性变化的雷达。

常见问题

什么是调频连续波?

调频连续波雷达是指发射频率由特定信号调制的连续波雷达。
调频连续波(FMCW)雷达的原理是:发射一个具有一定带宽且频率线性变化的连续信号,然后对接收到的连续信号进行快速傅里叶变换。
通过计算发送信号和接收信号之间的频率差,即可得到两个信号之间的时间差。最后,类似于脉冲波雷达液位计,根据该时间差即可得到相应的距离值。
FMCW雷达可以获得非常高的精度,其精度主要取决于压控振荡器的线性度和温度漂移。

连续波是什么意思?

连续波 或 连续波形 (CW) 是一种振幅和频率恒定的电磁,通常是正弦,在数学分析中被视为无限持续。

FMCW是什么的缩写?

FMCW是Frequency Modulated Continuous Wave(频率调制连续波)的缩写。

Sino-Inst 提供10余款 FMCW 雷达液位变送器,用于液位测量。其中约 50% 为浮球式液位计,40% 为 固体液位传感器

我们提供多种 FMCW 雷达液位 变送器样品供您选择,包括免费样品和付费样品。

Sino-Inst 是一家全球知名的 FMCW 雷达液位变送器 供应商和制造商,总部位于中国。

Request a Quote