差压流量计也称为DP流量计。差压流量计利用压差原理测量液体、气体和蒸汽的流量。
特色差压流量计
差压流量计应用
| 差压流量计适用流体 | 洁净气体 /液体 | 污浊气体 /液体 | 腐蚀性液体 | 粘稠液体 | 磨蚀性浆料 | 含纤维浆料 | 低流量流体 | 蒸汽 | 高温流体 | 低温液体 | 未充满 管道 | 非牛顿流体 | 开放通道 |
| V型锥 | ○ | ○ | ○ | ◎ | ○ | ○ | ○ | ○ | ○ | ○ | ╳ | ╳ | ╳ |
| 孔板 | ○ | ◎ | ○ | ◎ | ╳ | ╳ | ○ | ○ | ○ | ○ | ╳ | ○ | ╳ |
| 文丘里管 | ○ | √ | ◎ | ◎ | ◎ | ◎ | ◎ | ○ | ◎ | ◎ | ╳ | ◎ | ╳ |
| 喷嘴 | ○ | ◎ | ◎ | ◎ | ◎ | ◎ | ◎ | ○ | ◎ | ◎ | ╳ | ◎ | ╳ |
| 均匀管 | ○ | ◎ | √ | ◎ | ╳ | ╳ | ◎ | ○ | ◎ | ◎ | ╳ | ╳ | ╳ |
| 弯头 | ○ | √ | √ | ◎ | √ | ╳ | ◎ | ○ | ◎ | ◎ | ╳ | ◎ | ╳ |
延伸阅读:差压式(DP)流量计技术
差压式流量计的优点和缺点
差压式流量计的优势
- 应用范围广泛。没有其他类型的流量计能与差压式流量计相媲美。
- 孔板式差压流量计是应用最广泛的类型。它结构坚固,性能稳定可靠,使用寿命长。
- 检测部件、差压变送器和 流量累加器 可由不同的厂家生产,便于规模化经济生产。
差压式流量计的缺点
- 差压式流量计的测量精度通常较低。
- 量程较窄,一般只有3:1-4:1。
- 不同压力的流量计对现场安装条件要求较高。
- 孔板和喷嘴的压力损失较大。
差压式流量计工作原理
当流体流经节流阀时,由于流体受到压缩而加速。
随着流体速度的增加,流体的动能也相应增加。
根据能量守恒定律,我们知道被加速流体的静压会相应降低。

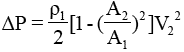
如图所示:
管道横截面1的面积为A1。流体流经横截面A1时的平均流速为V1,密度为ρ1。
当流体流经横截面2时,流体的平均流量变为V2,密度为ρ2,横截面面积为A2。
根据流体流动连续性原理,存在以下关系:V1×A1×ρ1=V2×A2×ρ2。
如果流体是液体,则压缩前后流体的密度通常被认为是恒定的。即,ρ1=ρ2=ρ。
因此,液体的体积流量为:qv=V1×A1=V2×A2 ——–公式①
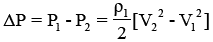
根据伯努利方程(即能量守恒定律),水平管道上Z1=Z2,则有如下关系:
—————公式②
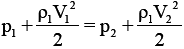
应用伯努利方程和流量连续性原理,在两个横截面上可得到以下关系:
——————公式③
由公式①可得:V1=A2/A1×V2;将公式①和公式②代入公式③,得到:
———————公式④
在上述公式中:A1=(πD²)/4,A2=(πd²)/4,根据直径比的定义,直径比β为:β=d/D。由公式①可得:V2=qv/A2
因此:理论流量公式可由此推导得出:
————————–公式⑤
此外,还定义了流出系数C:C=实际流量/理论流量
最终,可得到差压流量计的计算公式:
–
————————-公式⑥;
公式⑥中被测介质的膨胀系数ε,一般来说,对于液体,ε=1。
对于气体、蒸汽等,ε<1,可压缩流体。
qv为流体的体积流量,单位:m³/s。
ρ1为工作状态下节流阀上游(前端)流体的密度,单位:kg/m³。
d为工作状态下节流阀的等效开度直径,单位:m。
△P 为压差,△P=P1-P2,单位:帕斯卡 (Pa)。
延伸阅读:气体转子流量计使用技巧
差压流量计选型
差压流量计的选型应考虑以下几个方面:
1.精度、重复性、线性度、流量范围和量程
差压流量计的标准部件具有严格的使用范围。这些参数包括管径比、雷诺系数、管壁厚度等。
因此,在实际选型和应用中,应合理选择这些参数。此外,差压流量计的精度很大程度上取决于现场使用条件,通常也取决于流体的状况。
2.流体特性
流体特性是指流体介质的密度、动力粘度、压力、温度、腐蚀性、磨损性、结垢性和污垢等条件。
因此,应根据现场流体介质的物理特性合理选择差压流量计。如果对现场流体的物理特性不了解,则应主动使用仪器测量这些物理参数。
3.经济因素
应考虑差压流量计的购置成本、安装成本及安装后维护成本、校准费用。大口径差压流量计的后期运行成本相对较高。因此,在选择型号时,应选择合适口径的差压流量计。
4.压损
压损大是差压流量计的主要缺点之一。各种节流装置中的孔板和喷嘴都是压损较大的节流部件。在相同的流量和β值下,喷嘴的压损仅为孔板压损的30%~50%,这意味着喷嘴的压损较低。
各种流量管(文丘里管、多尔管、罗洛斯管、普通文丘里管等)都是压损较小的节流装置。它们的压损仅为孔板的20%,甚至低至5%~10%。这些节流装置的研发和应用是未来研究的方向之一。
差压式流量计是应用最广泛的流量计类型之一。中国仪器分析了差压式流量计的工作原理和选型,为未来差压式流量计的选型和应用提供了一定的理论参考依据。
您可能感兴趣:
Sino-Inst,差压式流量计制造商。产品包括孔板式、文丘里式、安努巴式等,适用于液体、气体和蒸汽流量测量。
Sino-Inst的差压式流量计,中国制造,品质优良,价格实惠。我们的 流量测量 仪器广泛应用于中国、印度、巴基斯坦、美国等国家。

吴鹏出生于1980年,是一位备受尊敬且成就卓著的男性工程师,在自动化领域拥有丰富的经验。凭借20多年的行业经验,吴鹏在学术和工程领域都做出了卓越的贡献。
在其职业生涯中,吴鹏参与了许多国内外工程项目。他最著名的项目包括炼油厂智能控制系统的开发、石化厂尖端分布式控制系统的设计以及天然气管道控制算法的优化。


























