什么是 BTU 计?
热量表(BTU表)是一种用于测量供暖或制冷系统中热能传递的专用仪器。热量表也称为能量表或热量计。常用的热量表有电磁式和超声波式两种。它们广泛应用于中央空调制冷和供暖系统的在线计量以及供热管网的计量。此外,热量表还可以用于评估节能措施的成效或影响收益的系统效率损失。

Featured Flow and BTU Meters
什么是 BTU?
英热单位 (BTU)。1 BTU 约等于 252.1644 卡路里 (calorie) = 0.293 瓦时 (watt-hour) = 1.055 千焦 (kjoule)。
1 BTU 是指在 14.696 磅/平方英寸的大气压下,将 1 磅纯水从 59 华氏度加热到 60 华氏度所需的热量。
BTU 是英热单位 (British Thermal Unit),BTU/h 是“每小时英热单位”。由于 1 BTU = 1055.056 焦耳 (Joul),且 1 瓦 = 1 焦耳/秒 (Jouss/s)。
所以,1 BTU/秒 = 1055.056 瓦,将秒转换为小时为:1 BTU/小时 = 1055.056 / 3600 = 0.293071 瓦。
因此,制冷量为 10000 BTU/小时的空调的功率为 10000 * 0.293 = 2.93 千瓦。
BTU表工作原理
当水流经系统时,根据流量传感器提供的流量、配对温度传感器提供的供回水温度信号以及水流时间,通过计算器计算并显示系统释放或吸收的热能。
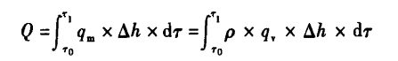
其基本公式如下:

公式中:
Q——系统释放或吸收的热量,单位为焦耳(J);
qm——流经热量表的水的质量流量,单位为千克/小时(kg/h);
qv——流经热量表的水的体积流量,单位为立方米/小时(m³/h);
ρ——流经热量表的水的密度, 单位为千克/立方米(kS/m³);
Δh——换热系统进出口水的焓差,单位为焦耳/千克(J/kg);
T——时间,单位为小时(h)。
从热量表的工作原理可以看出,热量表主要分为三个部分:基础表、温度传感器和累加器。
基本流量计是指测量流量并将流量信息转换为电信号的流量计。
温度传感器是指测量热交换系统供回水温度的传感器。
累加器是一种根据公式对热量进行积分并显示数值的装置。
视频来源:https://www.youtube.com/watch?v=keD50bX1mec
BTU 测量系统
BTU 测量系统是提高供暖和制冷系统能源效率和可持续性的重要组成部分。
BTU 测量系统定义:
BTU 测量系统是理解和管理供暖和制冷系统能源消耗的重要工具。该系统的核心是英国热量单位 (BTU),它是热能的计量单位。 1 BTU 表示将一磅水的温度升高一华氏度所需的能量。
BTU 测量系统的组成部分:
该系统的关键组件是 BTU 计。它用于测量流经热交换器的液体的流量和温差。
该系统包括:
- 两个温度传感器:分别安装在热交换器的入口和出口,用于测量温差。
- 流量传感器:该组件用于跟踪流经热交换器的液体流量,这是能量计算的关键部分。
- 计算器:它处理来自温度和流量传感器的数据,以提供精确的热能传递计算结果。
超越基本用途
BTU 测量系统的用途远不止于基本的温度和流量测量:
- 能耗监测:它可以提供系统能耗的详细视图,从而帮助您做出更智能、更经济高效的决策。
- 暖通空调系统优化:通过找出效率低下的环节,确保您的供暖和制冷系统以最佳性能运行。
- 泄漏和效率低下检测:该系统能够对泄漏或效率低下的情况发出警报,从而防止能源损失和潜在的系统损坏。
- 改进措施识别:该系统在识别可降低能源消耗的领域方面发挥着关键作用,有助于推广可持续的能源利用方式。
BTU 表类型
BTU 表有多种类型,每种类型都适用于特定的应用和系统要求。
冷冻水 BTU 计量表
用于冷冻水的 BTU(英国热量单位)仪表是一种专用于冷却系统的设备,特别是在 HVAC(供暖、通风和空调)应用中。其主要功能是通过计算从冷冻水中带走的热量来测量冷却过程中消耗的能量
BTU 仪表由一个流量测量传感器、两个温度传感器和一个基于微处理器的能量计算器组成。
流量传感器应安装在冷冻水回水管路上,且冷冻水流向应安装在垂直或水平位置。两个温度传感器,其中一个传感器安装在回油管路上。第二个传感器安装在供水管线上。在指定时间内,从冷却水传递到消耗器的热能与流量和回流之间的温差以及流过的冷却水量成正比。
Sino-Inst 提供两种类型的BTU仪表。一种采用超声波测量技术(超声波BTU仪表),另一种采用电磁测量技术(电磁BTU仪表)。
BTU 仪表广泛应用于:
- 建筑暖通空调系统:在大型建筑中,冷冻水能源使用的准确测量对于系统的高效运行和成本分配至关重要。
- 工业冷却过程:需要精确温度控制的行业依靠这些仪表进行能源管理并确保冷却设备的最佳运行。
- 区域冷却系统:在区域冷却系统中,冷冻水从中央工厂供应到多个建筑物。
在冷冻水系统中使用 BTU 仪表的好处:
- 能源效率:通过提供准确的能源使用数据,这些仪表有助于优化冷却系统的运行,从而节省能源。
- 成本分配:在多租户建筑中,BTU 计量表可以根据冷却的实际能源使用情况进行公平计费。
- 系统监控和维护:这些仪表的定期读数可以指示系统性能并有助于及早发现问题。
无论是在商业、工业还是住宅环境中,冷冻水系统的 BTU 仪表都是管理冷却过程的重要工具。
BTU 仪表安装

电磁热量表和超声波热量表的安装要求有所不同。
我们推荐钳式超声波热量表,因为它的安装是最简单的。
夹式超声波传感器和外部夹式温度传感器同样安装简单,成本低。
关于电磁热量表的安装。您可以参考以下PDF。
bTU 仪表与流量计
BTU 仪表和流量计都有其重要性。 BTU 仪表有助于保持加热和冷却系统的高效,而流量计则确保流体通过各种系统的正确运动。
| 特点 | BTU 计 | 流量计 |
| 主要功能 | 测量供暖或制冷系统的能源使用情况。 | 测量流体(如水或气体)的体积或速度。 |
| 测量类型 | 通过评估温度变化和流量来计算能量。 | 测量通过它的流体量或流量。 |
| 典型应用场景 | 用于暖通空调系统(供暖、通风和空调),监测供暖或制冷过程的效率。 | 用于各种行业,包括水处理、化工和住宅供水系统。 |
| 提供的关键信息 | 提供添加或移除的热能数据。这对于能源管理至关重要。 | 提供有关流体数量或速度的数据。这对于体积控制和监测非常重要。 |
| 复杂性 | 更复杂。因为它将流量测量与热能计算结合在一起。 | 操作更简单,仅专注于流体流量测量。 |
| 重要性 | 对于温度控制系统的能源效率和成本管理至关重要。 | 对于各种应用中的流体流量管理和监控至关重要。 |
了解这些区别有助于您选择合适的工具。如果您需要了解供暖或制冷系统的运行效率,那么 BTU 测量仪是您的首选。但如果您只需要知道水或燃气的流量,那么流量计就是您需要的工具。
常见问题
相关博客
Sino-Inst 提供超过 10 款热量表产品。其中约 60% 为超声波流量计,40% 为电磁流量计。
我们提供多种热量表选择,包括免费样品和付费样品。
Sino-Inst 是一家位于中国的全球知名热量表供应商和制造商。
中国大陆是主要的供应国,供应了所有热量表产品。
您可以选择获得 ISO9001 和 ISO14001 认证的供应商,以确保产品安全。
Request a Quote
Request a Quote

吴鹏出生于1980年,是一位备受尊敬且成就卓著的男性工程师,在自动化领域拥有丰富的经验。凭借20多年的行业经验,吴鹏在学术和工程领域都做出了卓越的贡献。
在其职业生涯中,吴鹏参与了许多国内外工程项目。他最著名的项目包括炼油厂智能控制系统的开发、石化厂尖端分布式控制系统的设计以及天然气管道控制算法的优化。












