V型锥流量计又称锥式流量计、内锥流量计、一体式V型锥流量计。V型锥流量计的工作原理与其他差压流量计相同,也是一种节流式差压流量计。

V-Cone Flow Meter

V型锥流量计的基本原理与其他类型的差压流量计相同,都是基于密封管道内的能量守恒原理。V型锥流量计是在管道中心悬挂一个锥形截止阀,该截止阀阻碍介质流动,从而改变流量曲线的形状。测量介质包括水、蒸汽、空气、天然气、氮气、焦炉煤气等。最高工作温度为450℃,最高压力为40MPa。

Sino-Inst,差压式流量计制造商。产品包括孔板式、文丘里式、安努巴式等。适用于液体、气体和蒸汽流量测量。如需技术支持,请联系我们的销售工程师!

V型锥流量计的特点

  • 安装要求低。前段0~3D直管,后段0~1D直管;
  • 量程比宽。通常为10:1,通过选择合适的参数,最高可达50:1;
  • 压损小。对于相同的β值,压损仅为孔板的1/3~1/5;
  • 耐磨性好。流线型锥体节流后,锥体表面会形成真空层,使其不易磨损;
  • 无堵塞、无粘附。锥形彻底吹扫设计避免了流体中残留物、冷凝物或颗粒物的滞留;
  • 长期稳定性好。β值可长期保持不变,保证长期测量精度;
  • 精度高:0.5级;
  • 重复性好。优于0.1%;
  • 信号稳定。信号波动为孔径的1/10;
  • β值范围宽。V型锥流量传感器的独特几何结构使其具有宽广的β值范围;
  • 口径范围广:DN25~DN2000;
  • 可测量高温高压介质:最高工作温度850℃,最高压力40MPa;
  • 可检测杂质介质(焦炉煤气、高炉煤气、原油、残油等);
  • 可测量气液两相介质(湿度、冷凝液等)。

V型锥流量计规格

长期稳定性:± 0.1% F.S / Y
输出:4~20mA
重复性:± 0.1%
最小流速:0.1m
调节比:通常为 15:1;最大为 50:1
雷诺数范围:8 × 103 ~ 5 × 106
工作压力:≤ 16MPa,42MPa(最大值)
工作温度:-160 °C ~ 700 °C
公称直径:φ15~φ2000 (1/2″~120″)
环境温度:≤ 80 °C

延伸阅读:整体式差压流量计|气体、液体、蒸汽|结构紧凑

V型锥流量计应用

V型锥流量计可成功测量以下流体:

  1. 气体:
    气体:焦炉煤气、高炉煤气、城市煤气;
    天然气:含水量超过5%的 天然气
    各种烃类气体:烷烃、烯烃等;
    各种生产气体:氢气、氦气、氩气、氧气、氮气等;
    腐蚀性气体:湿氯化物气体等;
    空气:包括含水空气、含尘空气、压缩空气等;
    烟气:各种锅炉和加热炉排放的烟气;
  2. 蒸汽:饱和蒸汽、过热蒸汽;
  3. 液态
    油类:原油、燃料油、含水乳化油、柴油、液压油等;
    水:原水、饮用水、生产用水、污水等;
    各种水溶液:酸、碱、盐溶液等;
    有机化学品:甲醇、乙二醇、二甲苯等;
  4. 特殊流体
    油+碳氢化合物气体+砂;
    充气水:H₂O+N₂+空气;H₂O+CO₂等;

延伸阅读:氮气流量测量

Veris流量测量集团

Armstrong International旗下的 Veris流量测量 解决方案提供卓越的流量测量技术,满足您环境中的关键需求。其Verabar和Accelabar专利解决方案可提供一致、准确、可靠的流量测量,适用于各种液体、气体和蒸汽。

金属 转子流量计 适用于小直径、低流速介质的流量测量。它可以测量大多数介质,例如气体和液体。

金属转子流量计可以测量气体和液体的瞬时流量和累计流量,包括腐蚀性酸、碱和盐溶液。当流量较小或需要纯机械式或不便的电源时,它是理想之选。

转子流量计大多为立式安装,底部进料,顶部出料,也可水平安装。价格较高。让我给您展示一个样品。

Rotameter-flow-meter-explosion-proof-applications

这是一款防爆型转子流量计,用于测量腐蚀性液体。

Rotameter-flow-meter-Smart-Applications

这是一款智能型转子流量计,可测量气体和液体,但不能含有杂质。

Rotameter-flow-meter-to-measure-nitrogen

这款转子流量计水平安装,用于 测量氮气。它采用纯机械式设计,显示瞬时流量。

V型锥流量计工作原理

V型锥流量计是一种差压式流量计。基于差压原理设计的流量计已应用超过百年。

差压式流量计的原理基于密封管道内的能量转换原理。也就是说,对于稳定的流体,流量与管道内介质流量的平方根成正比。

当介质靠近锥体时,其压力为P1。当介质流经锥体的截流区域时,速度增大,压力减小至P2。P1和P2均通过锥体流量计的取压口传递至差压传感器。当流量变化时,锥体流量计两个压力取压口之间的压差会增大或减小。

V型锥流量计的流量计算公式与其他差压式流量计相同。然而,其独特的截流元件设计迫使管道中心的介质绕过锥体流动。与其他差压式流量计相比,锥形流量计具有诸多优势。

我们可以借助理想流量曲线分布来理解锥形流量计的性能。管道内的流体不受干扰或阻碍,这就是我们所说的理想流动状态。其流速均匀分布,靠近管壁的流速几乎为零。

管道中心的流速达到最大值。靠近管壁的流速几乎为零,这是由于管壁与介质之间的摩擦造成的。由于锥形流量计悬挂在管道中心,它直接与流体的高速区域接触,迫使高速区域的流体与靠近管壁的低速区域的流体混合,从而使流量均匀分布。

因此,即使流量很低,锥形流量计仍然能够使流体与管道中心最高流速区域持续相互作用,从而产生正确的差压。

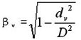
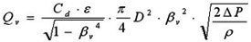
V型锥流量计计算

简化公式为:

V-Cone Flow Meter Calculation
V-Cone Flow Meter Calculation
V-Cone Flow Meter Calculation
V-Cone Flow Meter Calculation

其中:
QV – 流体体积流量 m³/h
Cd – 流出系数
βV – 等效直径比
dV – 锥体最大直径,D – 管道内径
ρ – 流体密度
ε – 气体膨胀系数

实际应用中,流量难以均匀分布,管道内的任何变化都可能影响流体,例如:弯头、阀门、缩径管、扩径管、泵、三通等。锥流量计利用锥体改变上游流速分布曲线,即使在极其恶劣的条件下,也能保证测量精度。

延伸阅读:[工作原理及价格]SI3051ANB Annubar 流量计

  1. 如果介质中含有颗粒杂质,容易造成堵塞。
  2. 电磁式、涡街式、热式和Vera式等非移动部件以及基于无孔板原理的流量计,其压力损失最大,约为10%~20%。如果在同一管道上使用多套流量计,压力损失会更大。
  3. V型锥流量计一旦损坏,必须拆卸。停机对许多企业来说都是非常麻烦的。
  4. 由于V型锥流量计是差压式流量计,因此需要压力和温度补偿。而这两个补偿探头比流量计本身更容易损坏。
  5. V型锥流量计的量程比较小,一般为1:10,最好是20。电磁式流量计的能量通常可达100。除电磁式和热式流量计外,其他类型的流量计在小流量下测量精度下降幅度较大,甚至无法测量。

V型锥流量计安装

1.管道法兰式:

指流量计两端的安装法兰。它与工艺管道两端相同规格的安装法兰(也称用户法兰)连接。这是一种较为常用的结构。

适用口径为DN50mm~3000mm。此形式适用于节流装置和差压变送器的分体式安装。通常用于测量蒸汽流量,也可用于测量其他高温介质。

2.法兰夹紧式:

用于小口径流量计的安装。每条流量计工艺管道仅需两个法兰。将法兰与工艺管道焊接在一起,然后将流量计夹在两个法兰之间。其安装方法与涡街流量计(≤300mm)相同。

3.小口径一体式:

适用于直径≤DN40mm、介质温度≤120℃的流体。结构是将差压变送器与塔式流量计直接组合成一个整体。

两者之间没有压力导管、取压阀或三阀组,安装非常简便(与涡街流量计的安装方式相同)。调整差压变送器零点时,需要关闭工艺管道的阀门,然后即可进行零点调整。

注意:此安装方式不适用于测量高温介质。因为高温介质会进入 差压变送器 的测量室,损坏变送器的测量膜片。

4.管道对接焊接式:

指塔式流量计与工艺管道无法通过法兰连接(流量计本体无法进行法兰连接)。安装时,将流量计与工艺管道直接焊接在一起。这种结构的成本相对较低(减少了4个法兰的成本),而且是一次性安装。通常用于较大直径的场合。

5.常规流体一体化型:

指介质温度≤120℃的流体。适用管径:DN50~DN3000。根据不同的流体和用户需求,厂家在出厂前将阀门和三通阀组焊接(或组装)在流量计上。用户在现场安装时可将流量计和变送器组装在一起。

6.蒸汽一体化型:

指在测量蒸汽流量时将变送器和塔式流量计组装在一起。在变送器和流量计之间,必须安装我公司专用的“蒸汽三通阀组”。因此,取消了压力导管,大大简化了受压结构。

7.液体防冻型:

指我公司在塔式流量计和变送器之间安装的“液体专用隔离罐”。罐内装有特殊介质,即使在较低温度下也不会结冰。这种安装方式适用于测量液体,尤其是在室外环境温度较低的情况下。变送器测量腔内的液体容易结冰,从而损坏变送器。

8.方管法兰型:

指工艺管道为方管,流量计测量管道为圆管,两者通过专用的“方圆”接头连接。

  1. 法兰、卡箍连接方式

V型锥流量传感器是一段带有法兰的直管段。V型锥体位于管内。将相同的法兰焊接在工艺管道上,并与V型锥流量传感器组装在一起。

当V型锥流量传感器安装在垂直管道上时,流体应自下而上流动。由于正负压入口不在同一水平面上,因此需要对其高度进行必要的修正。

直径范围节流阀上游下游
全部1个弯头1D1D
2个弯头1D1D
三通接头1D1D
蝶阀 (控制阀)10D (非理想状态)5D (阀门下游)
蝶阀 (截止阀)5D3D
球阀 (截止阀)1D1D
热交换器 (取决于类型)1D0D
膨胀管 (0.67D-D) 长度 2.5D2D2D
减速器 (3D-1D) 长度 3.5D1D1D
  1. 焊接式

V型锥流量传感器具有极佳的耐磨性,且V型锥周围有流体吹扫,使其具备自清洁功能,因此可作为管道的一部分永久焊接在管道内。

上下游直管段要求:
气体测量,雷诺数 (Re) > 200,000,β值≥0.65

上下游直管段要求:
液体测量,雷诺数 (Re) ≤ 200,000,β值≥0.65

直径范围节流阀上游ygnahs下游
全部1个弯头1D1D
2个弯头1D1D
三通接头1D1D
蝶阀 (控制阀)3D 在非理想位置的应用下游阀门 3D
蝶阀 (截止阀)3D3D
球阀 (截止阀)0D0D
热交换器 (取决于类型)0D0D
膨胀管 (0.67D-D) 长度 2.5D1D1D
减径器 (3D-1D) 长度 3.5D1D1D

常见问题

V型锥流量计,又称V型锥流量计、锥流量计、内锥流量计。

V型锥流量计(简称V型锥流量计)是一种差压式流量计,于20世纪80年代发展起来。它的成功研发是差压式流量测量领域的一次质的飞跃。
它利用V型锥在流场中产生的节流效应,通过检测上下游压差来测量流量。
V型锥流量计主要用于液体、气体和蒸汽的流量测量。V型锥流量计分为一体式和分体式两种形式。

如果要将流量计分为三类,我认为可以分为体积流量计、质量流量计和速度流量计。

常用流量计的测量精度存在差异,具体如下:

质量流量计 0.05%,容积式流量计 0.25~0.5%,电磁流量计 0.25~1.0,涡轮流量计 0.15~0.5,涡街流量计0.1.5,超声波流量计 0.1.0(多通道优于 0.5),孔板流量计、V 型锥流量计、匀速管流量计 1~1.5,喷嘴流量计 0.10。

流量计的精度和误差都体现了测量仪器测量结果接近真实值的能力。仪器的精度越高,测量值越接近真实值;精度越高,误差越小。

因此,目前质量流量计的精度最高。

相关差压流量计

相关博客

Sino-Inst 提供十余种 V 型锥流量计产品。这些产品包括差压式流量计、40% 的水表(例如 插入式涡轮流量计)以及 40% 的水处理设备(例如 安努巴流量计 )。

我们提供多种 V 型锥流量计样品,包括免费样品和付费样品。

Sino-Inst 是一家全球知名的 V 型锥流量计供应商和制造商,总部位于中国。中国大陆是其最大的供应国,V 型锥流量计 的供应量占 100%。

Sino-Inst 通过成熟的经销网络进行销售,覆盖美国所有 50 个州和全球 30 个国家。V 型锥流量计 产品在国内市场、东南亚和中东地区广受欢迎。

选择通过 ISO9001 和 ISO14001 认证的供应商,您可以确保产品安全。