楔形流量计是一种差压式流量计。其检测部分是一个V形楔块(也称为楔形节流阀)。

Wedge Flow Meter

楔形流量计是一种新型节流式差压流量测量仪器。它能够对高粘度、低雷诺数(雷诺数可达500)的流体进行高精度流量测量,尤其适用于低流量、小流量、大管径的测量场合。除一般气体、液体和蒸汽外,它特别适用于高粘度、高杂质液体和高粉尘气体的流量测量。

Sino-Inst,差压式流量计制造商。产品包括孔板式、文丘里式、安努巴式等。适用于液体、气体和蒸汽流量测量。如需技术支持,请联系我们的销售工程师!

楔形流量计的特点

精度高、稳定性好、重复性好。测量误差:±0.5%F.S;长期稳定性:±0.1%F.S/年。

结构简单、可靠性高、使用寿命长。楔形流量传感器的独特结构、高性能 差压变送器的配置以及严格的测试、检验和标准化,使其使用寿命可达10年以上。

测量范围宽。量程比一般为1:25,最高可达1:33。当差压变送器的差压发生变化时,量程比可达1:100以上。

应用范围极其广泛。不仅适用于单相流体,也适用于气液、气固、液固等两相流体。其雷诺数范围可小至300,大至1×10⁷。楔形流量计可在测量流态或湍流态下工作,最低流量为0.01m/s。适用于测量各种液体、气体、蒸汽以及高温、高压、高粘度、易腐蚀、易结晶、含悬浮物、长纤维等高粉尘含量气体的流量。

防粘附、无沉积、无堵塞。楔形传感器测量管和节流片的防粘附结构设计,有效防止被测介质中的沙粒、粉尘、悬浮物和纤维粘附和积聚在流量传感器测量管上。同时,防止测量管腐蚀,从而保证测量管直径的长期恒定和流量测量的长期标准。

一体化设计。楔形传感器、三组阀门和差压变送器一体化安装,无需压力导向管道、阀门和管件,使整个系统更加简洁。测量精度和可靠性大幅提升。

智能化。选择智能差压变送器时,可通过 HART 协议或其他通信 方式设置和配置过程参数。根据被测介质流量的变化,自动调节差压,从而大幅拓宽系统量程。选择智能多参数 差压变送器 时,可实现多参数测量(差压、体积流量、质量流量、压力、温度)。实现全面的温度和压力补偿,并直接输出精确的流量信号。

对直管段安装要求低。对直管段安装要求低,可有效避免和降低测量系统额外的测量不确定性。

压力损失小,节能省电。

了解更多:高粘度液体科里奥利流量计

楔形流量计规格

精度0.5级、0.2级、0.3级、0.4级精度(可协商订购)
长期稳定性±0.2%F.S/Y
重复性±0.2%
适用测试介质各种液体、气体和蒸汽
最小流速0.01m/s
测量范围通常为 1:25,最高可达 1:33,具体取决于差压变送器的差压值。
最大可达 1:100 以上。
压力损失测量压差的约 1/5(约 1/3 孔板厚度)。
雷诺数适用范围下限为 500,上限小于等于 1×10⁷(低雷诺数测量时,适用范围相对缩小,且流出系数的不确定度相对增大)
测得液体粘度500MPa·s 或更高
工作压力范围-0.1~42MPa
工作温度范围-160℃~450℃(特殊情况下可达700℃)
适用管径DN10mm~DN1200mm(特殊规格可达2500mm)
楔块比 h/d0.2, 0.3, 0.4, 0.5
差压/压力变送器电源24VDC
差压/压力变送器输出4~20mA直流输出(可选HART协议)

Extended reading: Flat Pressure Sensor for High Viscosity Fluids

楔形流量计应用

楔形流量计可成功测量以下流体:

  • 气体:煤气、天然气(包括高湿度天然气和含有其他杂质的不洁净天然气)。空气(包括含水、固体颗粒和其他悬浮物的空气)。
  • 蒸汽:饱和蒸汽、过热蒸汽。
  • 液体:
    • 油类(例如原油、燃料油、煤焦油、残油、石蜡油、含水乳化油、含水砂质油等)。
    • 浆料(例如油浆、铁矿浆、纸浆、泥浆、煤浆等)。
    • 水(例如:纯净水、污水、工业废水、含泥沙和碎屑的河水等)。
    • 各种水溶液(例如:各种强腐蚀性和易结晶的酸、碱、盐溶液,以及含有较多悬浮固体的溶液等)。
  • 特殊流体。

延伸阅读:[工作原理及价格]SI3051ANB 安努巴流量计

楔形流量计工作原理

当流体流入流量管时,会受到流量管垂直运动的影响。在流量管向上振动的半个周期内,流体阻力作用于流量管,使其产生向下的力。

相反,楔形流量计中的流体对流量管施加向上的力,以抵消其向下运动并减小其垂直动量。这导致流量管发生扭转。在振动周期的另一个半周期内,流量管向下振动并沿相反方向扭转。

Integrated wedge flowmeter

流量管通过驱动线圈和反馈电路,在其谐振频率下振动。振动管的谐振频率与其结构、材料和质量有关。振动管的质量由两部分组成:振动管自身的质量和振动管内介质的质量。

每个传感器生产完成后,都会对振动管自身的质量进行测定。振动管内介质的质量是 介质密度 与振动管体积的乘积。对于每种口径的传感器,振动管的体积都是固定的。因此,振动频率与介质密度直接相关。对于确定结构和材料的传感器,可以通过测量流量管的共振频率来获得介质密度。

使用楔形流量计时,如果少量气体以分层流或波状流的形式流入水管,则会出现误差增大的故障现象,即流量测量值与实际值不符。

如果流动是气泡流或活塞流,则除了测量值与实际值不符之外,还会出现输出波动,这是因为气相会瞬间覆盖电极表面。

如果分层流中水平管道的横截面积在气相中增大,即管道内未充满液体的程度增大,也会出现故障现象。输出读数也会出现波动,如果液位未满,情况会更加严重。如果液位低于电极,则输出读数会过满。

延伸阅读:V 型锥流量计应用

楔形流量计计算公式

Wedge flow meter calculation

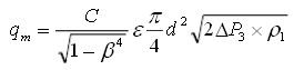
其中:qv——体积流量,m³/s
C——流出系数;
ε——膨胀系数;
m——节流面积比;
D——管道内径,m;
△p——压差,pa;
ρ——被测介质密度,kg/m³

楔形流量计具有流量系数、非线性误差、温度变化和 密度 变化等参数的校正功能,测量精度可达0.5%。可进行现场显示和标准电流信号(4~20mA DC)输出,方便用于自动控制系统或联网计算机,实现流量或其他参数的自动调节和控制。

楔形流量计 Vs V形锥流量计

楔形流量计是一种新型流量计,于20世纪80年代开始投入实际应用。其检测部分为V形楔形(亦称楔形节流部分),其光滑的顶部角度朝下。这种设计有利于含有悬浮颗粒或粘性液体的流体顺畅通过,且在节流口上游不会出现停滞流。因此,它特别适用于石油化工行业的体积流量和质量流量测量。

适用范围:

  1. 适用于测量泥浆、煤焦油沥青、煤水悬浮液等高粘度流体;
  2. 在管道雷诺数极低的情况下(甚至低至Re=500),流量与压差之间仍能保持平方根关系。孔板流量计的最小雷诺数远大于楔形流量计;
  3. 腐蚀性介质也可进行测量。由于差压测量采用的是隔膜式双法兰差压变送器,腐蚀性介质无法进入压力导管和差压变送器。因此,只需采用耐腐蚀材料加工楔形节流阀,即可使该仪器测量腐蚀性介质。

V型锥流量计是一种新型高精度、高稳定性的差压式流量计。与其他差压式流量计一样,它也基于流体连续性原理和伯努利方程来计算流体流量。

适用范围:

由于V型锥流量计能够均匀分布流体,因此与其他类型的差压式流量计相比,对上下游直管段的要求较低。建议上游保留0-3D直管段,下游保留0-1D直管段。当用户管道尺寸较大、管道造价较高或直管段不足时,V型锥流量计将是最佳选择。

V-cone flowmeter

综上所述,楔形流量计和V型锥流量计的应用范围有所不同。前者在极低的管道雷诺数下仍能保持流量与压差之间的平方根关系。后者则适用于管道尺寸较大或直管段不足的情况。

延伸阅读:什么是文丘里流量计?

您可能感兴趣:

Sino-Inst 提供楔形流量计。

我们提供多种楔形流量计供您选择,例如黄铜、碳钢等材质。您还可以索取免费样品。

Sino-Inst 是楔形流量计供应商。孔板流量计产品在国内市场、东南亚和中东地区广受欢迎。

您可以从经过认证的供应商中选择,确保产品安全。我们拥有 375 家通过 ISO9001、ISO14001 及其他认证的供应商。