什么是流量喷嘴?
流量喷嘴又称标准喷嘴流量计、标准喷嘴、ISA1932喷嘴,是一种适用于高温高压流体测量的差压式流量计。
流量喷嘴与标准孔板流量计、文丘里管流量计、文丘里喷嘴等一样,均属于国家标准规定的标准节流装置。喷嘴流量计的压降小,因此更加节能,结构更加坚固耐用,适用于高温高压流体,广泛应用于电力、化工等行业的蒸汽 流量测量。

喷嘴流量计的特点
与孔板流量计相比,喷嘴流量计的压力损失小,因此更节能、更耐用,适用于高温高压流体,广泛应用于电力、化工等行业的蒸汽 流量测量。
我公司生产的喷嘴流量计包括标准喷嘴(ISA1932喷嘴)和长颈喷嘴两种。其设计和制造均符合国际标准ISO5167或国家标准GB/T2624。
- 喷嘴流量计的节流结构易于仿制,结构简单、坚固、性能稳定可靠,使用寿命长。
- 喷嘴的压力损失比孔板小,直管段 长度也更短。
- 喷嘴的计算和加工采用国际标准,并按照JJG640-94进行检验,无需实际流量检验。
- 精度高,重复性好,出流系数稳定。
- 圆弧结构设计,可 可测量各种液体、气体、蒸汽及各种含污介质。
- 耐 高温高压,抗冲击。
了解更多 化学流量计 | 液体和气体耐化学腐蚀性能
喷嘴流量计的工作原理
喷嘴流量计的测量基于流体力学的节流原理。
当管道内的流体 流经 喷嘴时,流束会在喷嘴处形成局部收缩,从而提高流速并降低静压。
喷嘴前后会产生 压降,称为压差。介质的流量越大,喷嘴前后的压差也越大。
根据压差的平方根与流量的关系,利用 差压计测量压差来确定流体的流量。
了解更多 蒸汽压力变送器——蒸汽管道压力测量
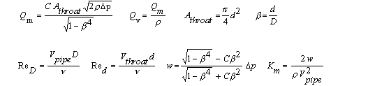
喷嘴流量计方程


流量喷嘴类型
标准喷嘴(ISA1932喷嘴)
- 适用介质;特别适用于 高温高压 蒸汽和水,以及各种气体和液体。
- 公称口径:DN50—500mm(也可设计生产DN>500)
- 工作应力:≦42 MPa
- 工作温度:-50℃-650℃
- 承压方式:角接头(单环腔、法兰环腔或直钻式)承压
- 喷嘴安装方式:法兰(直钻式和压紧式)、紧固件支架
- 法兰、环腔、紧固件支架
- 夹持(和压紧)焊接
- 执行标准:ISO5167;GB/T2624
- 精度:符合±1.0%
- 材质:法兰或夹持:碳钢、合金钢、不锈钢等,根据介质温度可选
- 喷嘴:不锈钢 304、316等
长半径喷嘴
- 适用介质:尤其适用于高温高压蒸汽和水,以及各种气体和液体
- 公称口径:DN50—630mm
- 工作应力:≦42 MPa
- 工作温度:-50℃至650℃
- 测压方式:直径距离(D-D/2)测压
- 喷嘴部件安装:上下管段用胶带缠绕焊接,然后根据直径距离(D-D/2)设置压力孔
- 实施标准:ISO5167;GB/T2624
- 精度:符合±2.0%
- 材质:可根据介质温度选择碳钢、合金钢、不锈钢等。
- 喷嘴:不锈钢 304、316等
延伸阅读:涡流蒸汽流量计
流量喷嘴结构
喷嘴流量计的优缺点
优点:
- 标准喷嘴历史悠久,拥有大量的试验数据。
- 喷嘴流量计结构简单牢固,无运动部件,长期使用稳定可靠。
- 设计、制造和应用经验丰富,标准化程度高,无需实际流量校准。
- 标准喷嘴拥有可靠的实验数据和完善的国际、国家标准。测量数据真实可信,可作为贸易结算的计量工具。
缺点:
- 生产工艺较为复杂,单价较高。
- 喷嘴流量计的流量测量原理是:当喷嘴前后压差大于一定值时,通过喷嘴的流量为固定值, 测量精度 较高;
- 通常用作标准装置。
延伸阅读:差压流量计的优缺点
蒸汽流量测量喷嘴
蒸汽 流量计广泛应用于石油、化工、冶金、制药、电力、造纸等行业,用于测量蒸汽流量。

喷嘴式蒸汽流量计具有 耐高温高压、抗冲击、使用寿命长、测量范围大、测量精度高、压损小等特点,可用于贸易结算。标准喷嘴按照国家标准GB/T2624-2006设计制造,并按照国家标准JJG640-94进行验证,无需实际流量校准。
JT-BPZ标准喷嘴式蒸汽 流量计 的入口根据弧形轮廓结构分为ISA标准喷嘴和长径喷嘴。
主蒸汽管道中常见的喷嘴式 流量计类型
在电厂锅炉的主蒸汽管道中,我们常见的 流量计 主要是ISA1932喷嘴式流量计和长径喷嘴式流量计。
ISA1932喷嘴式流量计主要由一个标准喷嘴、两根压力管和两个对接焊接的环状短段组成。
长径喷嘴式流量计主要由一个长径喷嘴、一个定位销、一个支撑环、两根受压管和一个测量管组成。
当然,蒸汽流量计的 种类 繁多。如何选择和使用应根据具体情况进行分析和选择。您可以参考:如何选择蒸汽流量计
延伸阅读:V型锥流量计的应用
喷嘴式流量计 vs 文丘里式流量计
文丘里流量计是一种基于压差原理的流量测量方法,常用于测量空气, 、天然气、煤气、水等流体的流量。其标准 节流装置所需的上下游直管段较短,持续压降小,性能稳定,维护方便。
扩展阅读:什么是文丘里流量计?
FAQ
流量喷嘴的工作原理是什么?
当 流量喷嘴 放置在待测流量的管道中时,喷嘴会引起压力下降,该压力下降随 流速而变化。该压力下降由差压传感器测量,经过校准后,该压力值即可作为流量的量度。
延伸阅读:高温椭圆齿轮加热油流量计
您可能感兴趣:
Sino-Inst,差压流量计制造商。产品包括流量喷嘴、孔板、文丘里管、环形喷嘴等,适用于液体、g气体和蒸汽流量测量。
Sino-Inst 的差压流量计,中国制造,品质优良,价格实惠。我们的 流量测量仪器 广泛应用于中国、印度、巴基斯坦、美国等国家。

吴鹏出生于1980年,是一位备受尊敬且成就卓著的男性工程师,在自动化领域拥有丰富的经验。凭借20多年的行业经验,吴鹏在学术和工程领域都做出了卓越的贡献。
在其职业生涯中,吴鹏参与了许多国内外工程项目。他最著名的项目包括炼油厂智能控制系统的开发、石化厂尖端分布式控制系统的设计以及天然气管道控制算法的优化。
流量喷嘴 | 差压式流量计 | 长半径-角部取压

喷嘴式流量计是一种差压式流量计,适用于高温高压流体测量。
Product SKU: Flow Nozzle
Product Brand: Sino-Inst
Product Currency: USD
Product Price: 990
Price Valid Until: 2059-09-30
Product In-Stock: InStock
5










